發布日期:2024-5-23 9:37:51
TC4鈦合金是一種典型的(α+β) 型鈦合金,其名義成分為Ti-6Al-4V, 因比強度高和抗腐蝕性較好 ,被廣泛應用于航空航天、船艦、電力等工業領域 ,作為相關重要裝備核心零部件的結構材料。為了保證零件的力學性能與尺寸穩定性,通常采用應用較為廣泛的非等溫鍛造工藝對其進行加工[1-3]。然而,TC4鈦合金具有導熱性能較差、鍛造溫度范圍窄、應變速率敏感等特點,屬于典型的難加工材料 ,極大地增加了鍛造的加工難度,導致鍛件易產生較大的殘余應力。殘余應力的存在會嚴重影響工件的使用性能和壽命:在制造過程中,殘余應力會導致工件產生變形、開裂等工藝缺陷,并降低工件強度以及產品合格率;在服役過程中,殘余應力會嚴重影響工件的疲勞強度、靜力強度、應力腐蝕等力學性能,以及尺寸穩定性,會降低工件的服役可靠性,對裝備的安全性造成嚴重威脅[4-6]。

目前,針對鍛件殘余應力的研究大多集中于熱處理工藝參數的調控方面,以此達到減少殘余應力和改善殘余應力分布的目的[7-9]。然而,就目前的熱處理技術而言,不可能完全消除鍛件的殘余應力,很多鍛件在進行下一道工序之前,會由于殘余應力的釋放而引起鍛件變形或者開裂,甚至在鍛件經過后續加工與熱處理并最終生產為合格零件時,零件內部仍然有部分殘余應力是來自于鍛件的殘余應力[10-11]。因此,迫切需要開展非等溫鍛造關鍵工藝參數對TC4鈦合金鍛件殘余應力的影響規律的研究。本文主要結合物理實驗修正仿真模型,確保仿真精度,采用修正后的仿真模型分析了鍛件殘余應力的分布規律以及變形溫度、變形程度、變形速度對 TC4鈦合金鍛件殘余應力的影響規律,為生產實際提供一定的指導作用。
1、有限元模型的建立
1.1 鍛造模擬分析
由于TC4鈦合金的化學活性很強,當坯料溫度達 到 800℃以上時,表面氧化膜會因高溫而分解,失去保護作用。此時,暴露在空氣中的坯料會與氧氣發生反應,形成硬度高、塑性低的富氧α層 ,其會使鈦合金在繼續變形或者受力時發生表面開裂,影響鍛件合格率[12]。所以,為了保證鍛件質量,在實際生產過程中,從加熱爐中取出坯料到開始鍛造 之間的時間間隔會嚴格控制在15 s 以內,而在這段時間內,坯料涉及到空氣傳熱過程,以及坯料與下模傳熱過程,存在溫度損失。因此,為了盡量使數值模擬與生產實際相符合,在進行TC4鈦合金非等溫鍛造及鍛件殘余應力仿真過程中,不僅要模擬鍛造變形過程與鍛后卸載冷卻過程,還要模擬前期的空氣傳熱過程以及坯料與下模傳熱過程,具體的模 擬過程如下:
( 1 )空氣傳熱過程:模擬坯料從加熱爐轉移到下模具階段的空氣傳熱過程,設定坯料在空氣中的移動時間為10s ;
( 2 )坯料與下模傳熱過程:模擬坯料轉移至下模具臺面后,在進行鍛造之前的下模傳熱過程,設定坯料在下模具臺面上的停留時間為2s;
( 3 )鍛造變形過程:模擬坯料在上、下模具作用下發生塑性變形的過程;
( 4 )鍛后卸載冷卻過程:模擬坯料鍛造完成后 ,離開下模具,在空氣中冷卻至室溫的過程。鍛件冷卻至室溫后,仍然存在于內部自相平衡的應力,即為鍛件殘余應力。
1.2 仿真模型的建立
采 用 Deform-3D 有限元軟件,對非等溫鍛造下TC4鈦合金鍛件的殘余應力進行模擬。由于鍛件殘余應力的模擬涉及到卸載和材料的彈塑性狀態轉化問題,因此,采用彈塑性有限元法進行仿真分析。
將坯料定義為彈塑性體,將模具定義為剛性體 ,由于坯料與模具之間,以及坯料與空氣之間存在溫度差,建立仿真模型時還需考慮坯料與模具之間的熱傳導、坯料與空氣之間的熱對流以及坯料的熱輻射等仿真控制參數,其熱量傳遞的示意圖如圖1所示。

仿真控制參數的設置直接影響仿真結果的準確性 ,因此,本文結合物理實驗和數值模擬對非等溫鍛造后TC4鈦合金鍛件的殘余應力進行分析。首先 ,進行鍛造實驗與鍛件殘余應力檢測實驗,得到實際鍛件殘余應力,具體實驗過程如圖2 所示。以物理實驗檢測所得的鍛件殘余應力為分析依據 ,實現相對應的仿真模擬,分析實驗結果與仿真結果的誤差,調整仿真控制參數,直至仿真所得殘余應力盡可能地接近實驗測量的殘余應力值,建立更加準確的有限元分析模型,所得具體的模擬參數如 表 1 所示。


1.3 模擬結果分析
為了直觀地展現TC4鈦合金鍛件殘余應力的演化規律,現 根 據 工 程 實 際 選 取 1 組鍛造工藝參數(變形溫度為925℃ 、變形程度為50% 、變形速度為100mm.s-1 )進行仿真分析,分別截取該工藝參數下坯料的X、 Y、Z3向殘余應力進行分析,如圖 3a、圖 3b 和圖 3c 所示,并沿鍛件中心軸線方向自上而下,每 隔5mm均勻取點,展示不同深度下鍛件殘余應力的分布圖,如圖3d 所示。


規定圖3 中的正值為拉應力、負值為壓應力。從圖3a、圖 3b 和圖 3d 可以看出,鍛件在X 向與Y向上的殘余應力分布特征基本類似,均關于軸線中心呈對稱分布,且分布不均,在中心軸線方向上,表層殘余應力為拉應力、心部殘余應力為壓應力,從表層至心部,殘余應力由拉應力轉化為壓應力,且在中心處應力較為集中;從 圖 3c 和圖3d 可以看出,鍛件在Z 向上的殘余應力大部分分布較為均勻,且明顯小于尤與F 向上的殘余應力。
2、影響鍛件殘余應力的關鍵工藝參數分析
2.1 單因素分析方案的確定
為了進一步地探究TC4鈦合金在塑性成形過程中各鍛造工藝參數對鍛件殘余應力的影響規律,本節根據TC4鈦合金的相變溫度 (985℃ )、鍛造方法 、允許的鍛造變形程度以及變形速度敏感程度等特點,確定單因素分析方案,如 表 2 所示。分析變形溫度、變形程度、變形速度3 個關鍵工藝參數對TC4鈦合金鍛件殘余應力的影響規律。
2.2 變形溫度對鍛件殘余應力的影響
取變形程度為50 % 、 變形速度為100mm.s-1模 擬 不 同 變 形 溫 度 ( 925、950、975、1 0 0 0 和1025℃ ) 下 TC4鈦合金鍛件的殘余應力,分析變形溫度對殘余應力的影響規律。沿鍛件中心軸線方向自上而下取若干跟蹤點,得到鍛件在跟蹤點處X、Y、Z的 3 向殘余應力和等效殘余應力,如 圖 4a、圖 41)、圖4c•和圖4(1所示,鍛件全局內的最大等效殘余應力、最小等效殘余應力、平均等效殘余應力如圖4e 所示。

從圖4 中可以看出:對比追蹤點處的鍛件殘余應力發現,隨著變形溫度的升高,鍛件殘余應力不斷下降,波動幅度逐漸變小,且當變形溫度高于相變溫度時,鍛件殘余應力更小,說明提高變形溫度能降低鍛件殘余應力、改善殘余應力分布;對比整體等效殘余應力的變化,所得結論與之一致。這是因為:變 形 溫 度 升 高 ,鍛件塑性成形能力隨之提高,變形抗力降低,改善了變形均勻性。
因此,選擇變形溫度時,為 了 減 小 殘 余 應 力 ,結合 TC4鈦合金相變特性,在一定范圍內應盡量提高變形溫度。
2.3 變形程度對鍛件殘余應力的影響
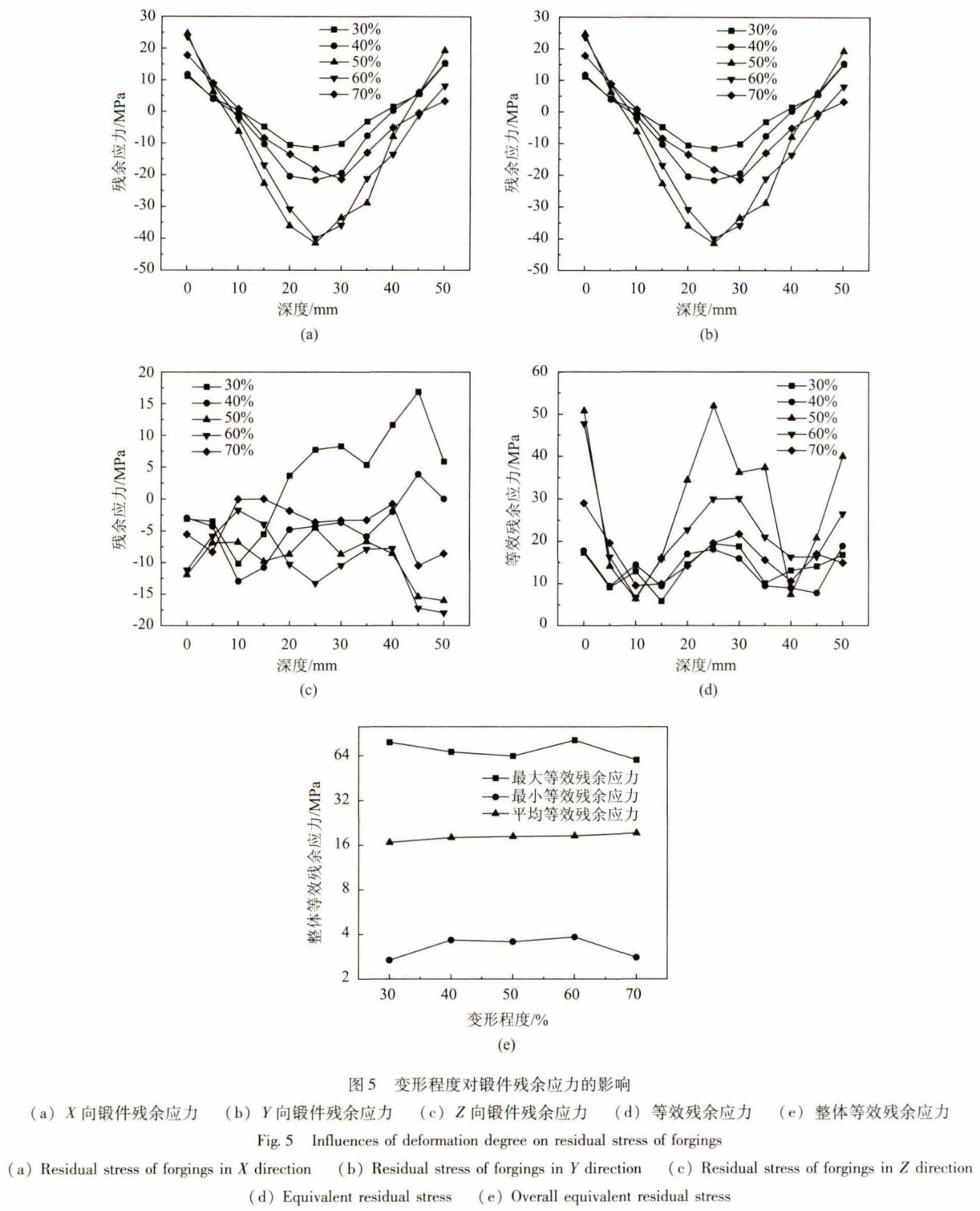
取變形溫度為925 T;、變形速度為100mm.s-1,模 擬 不 同 變 形 程 度 (30% 、40% 、50% 、60 % 和70% ) 下鍛件的殘余應力,分析變形程度對鍛件殘余應力的影響規律。沿鍛件中心軸線方向自上而下取若干跟蹤點,得 到 鍛 件 在 跟 蹤 點 處 X、Y、Z的 3 向殘余應力和等效殘余應力,如 圖 5a、圖5b、圖 5c 和圖5d 所示,鍛件全局內最大等效殘余應力、最小等效殘余應力、平均等效殘余應力如圖 5e 所示。

從圖5 中可以看出:對比追蹤點處的鍛件殘余應力發現,變形程度較小時,鍛件殘余應力較小,隨著變形程度的增加,殘余應力不斷上升,說明變形程度增加導致了鍛件殘余應力上升;對比整體等效殘余應力發現,在一定范圍內,增大變形程度,平均等效殘余應力增加,而最大等效殘余應力減小,最小等效殘余應力增加,說明隨著變形程度的增加,鍛件整體等效殘余應力增加,但殘余應力分布的均勻性有所改善。這是因為:變形程度較小時,TC4鈦合金鍛件的主要軟化機制為動態回復,有利于減少殘余應力;當變形程度繼續增大,軟化機制轉化為動態再結晶,導致殘余應力增加。因此,在選擇變形程度時,在保證細化組織的前提下,應盡量減小變形程度。
2.4 變形速度對鍛件殘余應力的影響
取變形溫度為925℃、變形程度為50% ,模擬不同 變 形 速 度 (0.1、1、10、100和1000mm.s-1)下鍛件的殘余應力,分析變形速度對鍛件殘余應力的影響規律。沿鍛件中心軸線方向自上而下取若干跟蹤點,得 到 鍛 件在跟蹤點處X、Y、Z 的 3向殘余應力和等效殘余應力,如 圖 6a、圖 6h、圖6c 和圖6d 所 示 ,鍛件全局內最大等效殘余應力、最小等效殘余應力、平均等效殘余應力如圖6e 所示。

從圖6 中可以看出:對比追蹤點處的鍛件殘余應力發現,當變形速度很小時,鍛件殘余應力很大且分布極不均勻;隨著變形速度的增大,殘余應力減小且分布不均勻的情況得到了改善,當變形速度增加到一定范圍時,仍 能 降 低 殘 余 應 力 ,但是效果減弱;對比整體等效殘余應力發現,所得結論與之一致。這 是因為:在非等溫鍛造變形過程中,過低的變形速度會使鍛件在變形過程中因變形時間的延長而流失大量溫度,使變形大部分在低溫下進行,增加了變形抗力,加劇了變形不均勻程度;隨著變形速度的增加,變形時間急劇縮短,變形溫度得到了保證,改善了變形均勻程度,但是,過高的變形速度會導致金屬變形熱效應加劇,形成不均勻的溫度場,削弱了改善效果,且易產生過熱甚至過燒現象。因此,在選擇變形速度時,為了保證鍛件力學性能以及改善鍛件殘余應力,變形速度不宜過高。
3、結論
(1) TC4鈦合金鍛件的徑向殘余應力(即 X 和Y 向)分布特征類似,殘余應力的分布關于中心軸線呈對稱性。但沿鍛件外表層到心部,殘余應力的分布是不均勻的,接近外表層的殘余應力為拉應力,接近心部的殘余應力為壓應力,且在中心處應力較為集中;而鍛件的軸向殘余應力(Z 向)從上到下分布較為均勻。這表明要改善鍛件殘余應力分布情況 ,可以在鍛造過程中采用中間凸、兩邊凹的V 形上砧。
( 2 )利用物理實驗結果建立和調控數值模型,增強了數值模擬結果的可靠性,確定了關鍵鍛造工藝參數對TC4鈦合金鍛件殘余應力的影響規律。隨著變形溫度的升高,鍛件殘余應力逐漸減;隨著變形程度的增加,鍛件整體殘余應力增加,但殘余應力分布的均勻性有所改善;隨著變形速度的增大,鍛件殘余應力減小,當變形速度增加到一定程度時,對殘余應力的降低有影響,但效果不顯著?梢悦鞔_,變形溫度和變形程度對TC4鈦合金鍛件殘余應力的影響較為顯著,是改善殘余應力分布的主控參量。
( 3 )在綜合考慮鍛件性能和改善鍛件殘余應力的情況下,適當提高變形溫度和變形速度、減小變形程度對降低鍛件殘余應力及提高生產效率具有積極的指導作用。
參 考 文 獻 :
[1]馮穎芳. 世 界 鈦 及 鈦 合 金 的 應 用 研 究 進 展 [ J ] . 世界有色金屬 ,2012,(4 ) : 51-54 .
Feng Y F. Research progress of application of titanium and titanium alloy in the world [J ] . World Nonferrous Metals, 2012, ( 4 ) :51 -5 4 .
[2]葉 勇 ,王金彥 . 鈦 合 金 的 應 用 現 狀 及 加 工 技 術 發 展 概 況 [J ] .材 料 導 報 ,2012, 26 (S 2 ) : 3 6 0 -3 6 3 .
Ye Y , Wang J Y. An overview on application status and processing technology development of titanium alloy [ J J. Materials Review,2012, 26 (S 2 ) :360 -3 6 3 .
[3]孔 得 磊 ,雷 麗 萍 ,曾 攀 . 4 0M n鋼 熱 變 形 行 為 及 加 工 圖 研 究[ J ] . 鍛 壓 技 術 ,2019, 44 ( 3 ) : 122 -1 3 2 .
Kong D L, Lei L P, Zeng P. Research on hot deformation behavior and processing map for 40 Mn steel [ J ] •Forging & Stamping Technology, 2 0 1 9 ,4 4 ( 3 ) : 122 -1 3 2 .
[4 ]Cepeda-Jimenez, Carmen M, Orozco-Caballero, et al. Effect of processing temperature on the texture and shear mechanical proper-ties of diffusion bonded Ti*6Al~4V multilayer laminatesJ 」. Metallurgical & Materials Transactions A ,2 0 1 3,44 ( 1 0 ) : 4743 -4753.
[5]吳桿疆,張豐收,燕根鵬.工藝參數對 T C 4合金航空發動機葉片精鍛殘余應力的影響 [ J ] . 鍛壓技術,2020, 45 ( 1 ) :9 - 1 4 .
Wu H J , Zhang F S , Yan G P. Influence of process parameters onresidual stress for TC4 alloy aero-engine blade in precision forging[J] .Forging & Stamping Technology, 2020, 45 ( 1 ) :9 -14.
[6]張鐵浩,王洋,方喜風,等.殘余應力檢測與消除方法的研究 現 狀 及 發 展 [ J ] . 精密 成 形 工 程,2017, 9 ( 5 ) : 122 -127.
Zhang T H, Wang Y , Fang X F, et al. Research status and development of residual stress detection and elimination methods [ J ].Journal of Netshape Forming Engineering, 2017, 9 ( 5 ) :122 -127.
[7 ]黃定輝,賀磊,趙順峰,等.真空去應力退火溫度對TA15鈦合金鍛件組織和性能的影響 [ J ] . 熱處理,2019, 34 ( 6 ) :2 4 - 2 7 .
Huang D H, He L, Zhao S F, et al. Influence of vacuum stress relief annealing temperatures on microstructure and mechanical property of TA15 titanium forging [J .
Heat Treatment, 2019, 34( 6 ) :24 -2 7 .
[8]譚玉全. 熱處理對TC4鈦合金組織、性能的影響及殘余應力消除方法的研究 [ D ] . 重慶:重慶大學,2016.
Tan Y Q. The Effect of Heat Treatment on Microstructure and Mechanical Properties of TC4 Titanium and the Research on Stress Relief After Heat Treatment [ D ]. Chongqing:Chongqing University, 2016.
[9 ]Zhao Z Y , Li L, Bai P K, et al. The heat treatment influence onthe microstructure and hardness of TC4 titanium alloy manufacturedvia selective laser melting [J ]. Materials, 2018,11( 8 ) :1318.
[10]Shang D, Liu X D, Shan Y C, et al. Research on the stamping residual stress of steel wheel disc and its effect on the fatigue life ofwheel [ J ] . International Journal of Fatigue, 2016, 93 (11 ) :173 - 183.
[11] 姜云祿,余陳,陳靜,等•鈦合金窄間隙TI G焊試板熱處理前后表面殘余應力研究[ J ] . 航空制造技術,2018, 61 ( 8 ) :62 -6 6 .
Jiang Y L, Yu C, Chen J , et al. Study on surface residual stressbefore and after heat treatment of TIG welding test plate with narrowgap in titanium alloy [ J ]. Aeronautical Manufacturing Technology, 2018, 61 ( 8 ) :62 -6 6 .
[12]中國鍛壓協會. 特 種 合 金 及 其 鍛 造 [ M ] . 北 京 :國防工業出版社,2009.
China Forging and Pressing Association. Special Alloys and TheirForging [ M] . Beijing:National Defense Industry Press, 2009.


